Binance Bluebird Index คืออะไร? คนส่วนใหญ่นั้นอาจจะนึกถึงโลโก้ของ Twitter ใช่หรือเปล่า? มันก็ไม่ผิดซะทีเดียว แต่อย่างไรก็ตาม นี่ไม่ใช่บทความเกี่ยวกับ Twitter อย่างน้อยก็ไม่ใช่โดยตรงแน่นอน แต่วันนี้เราจะเปลี่ยนโฟกัสไปที่ Binance Bluebird Index — ดัชนีที่มีความทะเยอทะยานและสามารถซื้อขายได้ซึ่งมีแนวคิดและเปิดตัวโดยบริษัทกระดานเทรด Crypto ยอดนิยมอย่าง Binance
Binance Bluebird Index นั้นมีความพิเศษ มันเปิดตัวขึ้นมาในช่วงเวลาที่โซเชียลมีเดียนั้นเต็มไปด้วยการสนทนาเกี่ยวกับเรื่อง Twitter ยิ่งไปกว่านั้น Changpeng Zhao “CZ” CEO ของ Binance ยังได้ลงทุนเงินเป็นจำนวน 500 ล้านดอลลาร์ใน Twitter — ซึ่งเป็นการช่วย Elon Musk ในการเข้าซื้อกิจการที่เป็นดั่งผู้กำหนดยุคสมัย เราลองมาเชื่อมโยงกันดูดีกว่า: Elon Musk ตัดสินใจซื้อ Twitter, CZ ลงทุนใน Twitter และ Binance เปิดตัว Blue Bird Index
คุณต้องการรับข่าวสารที่ร้อนแรงที่สุดในอุตสาหกรรม Crypto หรือไม่? มาเข้าร่วม BeInCrypto Trading Community บน Telegram สิ: พูดคุยกันเกี่ยวกับโปรเจกต์ใหม่ๆ แชร์ประสบการณ์ของคุณและอ่านบทวิเคราะห์ทางเทคนิคจากนักเทรดผู้มีประสบการณ์ 3 คนของเรา มาเข้าร่วมกับเราเลย!
ดูเหมือนว่ามันจะเป็นมากกว่าเรื่องบังเอิญใช่หรือไม่? วันนี้ เราจะพูดถึงเรื่องนี้กันว่า Binance Bluebird Index คืออะไร? — มาทำความเข้าใจเกี่ยวกับดัชนีดังกล่าวและวิธีที่มันสามารถกลายมาเป็นจุดเปลี่ยนสำหรับ Twitter, Binance และชุมชนซื้อขายได้
Binance Bluebird Index คืออะไร?
Binance Bluebird Index เป็น Crypto Index ล่าสุดของ Binance ที่ติดตามข้อมูลของ 3 โทเค็น: BNB, DOGE และ MASK ดัชนีนี้เป็นส่วนเสริมใหม่ล่าสุดใน Binance Futures ซึ่งช่วยให้นักเทรดได้สัมผัสกับ Perpetual Contracts (สัญญาซื้อขายล่วงหน้าที่ไม่มีวันหมดอายุ)
ดัชนีเริ่มเปิดใช้งานในวันที่ 2 พฤศจิกายน 2022 และให้เลเวอเรจสูงสุดถึง 25 เท่า USDT เป็นคู่ซื้อขายที่สามารถใช้ได้สำหรับดัชนีนี้ อย่างไรก็ตาม คุณสามารถใช้โหมดการซื้อขายหลายสินทรัพย์สำหรับ Binance Bluebird Index ได้ — ซึ่งจะทำให้คุณสามารถใช้สินทรัพย์อื่นๆ [รวมถึง BUSD] เป็นมาร์จิ้นได้
แล้วนั่นเป็นเรื่องที่ดีใช่มั้ย? เรามาเจาะลึกเข้าไปในโลกของ Bluebird Index กัน
Bluebird และ Twitter: แตกต่างที่ไม่แตกต่าง?
ใน Crypto เราจะทำการฟังบทสนทนาต่างๆ ผ่านทางโซเชียลมีเดีย (ซึ่งก็เป็นความคิดที่ดีที่จะคอยฟังการสนทนาของผู้เชี่ยวชาญด้าน Crypto ตัวอย่างเช่น ใน BeInCrypto Trading Community บน Telegram นักเทรดประสบการณ์สูง 3 คนจะคอยมาตอบคำถามของสมาชิกทุกวัน) แม้ว่าเราเลือกที่จะไม่ทำตามแต่เราก็ยังรับฟัง และด้วย Binance Bluebird Index ที่เกิดขึ้น มันได้ทำให้มีการสนทนามากมาย — เชื่อมโยงดัชนีเข้ากับแผนการรวมการชำระเงินในอนาคตของ Twitter เข้าด้วยกัน
ผู้ที่คอยติดตาม Altcoin ชื่อดังบน Twitter อย่าง Crypto Aidar กำลังพยายามเชื่อมโยงประเด็นต่างๆ และกำลังคิดว่าสินทรัพย์ Bluebird Index จะอยู่ในส่วนใดของแผนการชำระเงินของ Twitter หรือไม่
แต่ยังไม่หมดเพียงแค่นั้น! ชาว Twitter หลายคนเชื่อว่าการเป็นหุ้นส่วนของ CZ-Musk — ซึ่งเกี่ยวข้องกับการลงทุนมูลค่า 500 ล้านดอลลาร์ของ CZ — เป็นแผนการที่จะนำ Web3 และ Crypto เข้ามาสู่ Twitter!
ยังกับว่ามันไม่ได้อยู่ที่นั่นอยู่แล้ว!
บุคคลเหล่านี้เชื่อว่าดัชนีที่คอยติดตามข้อมูลของ BNB, DOGE และ MASK จะมีบทบาทสำคัญในการส่งเสริมการริเริ่ม NFT ของ Twitter ซึ่งจะมาแข่งขันกับ OpenSea แต่สำหรับในตอนนี้ ทุกอย่างก็เป็นเพียงแค่การคาดเดา!
อย่างไรก็ตาม เรื่องที่คาดเดากันส่วนใหญ่นั้นมาจาก Miles Deutscher — นักวิเคราะห์ Crypto ชื่อดัง — ผู้ซึ่งเป็นหนึ่งในชาว Twitter คนแรกๆ ที่เริ่มเชื่อมโยงข้อมูลต่างๆ นี่คือสิ่งที่เขาทวีต:
Deutscher ทวีตข้อความนี้เมื่อวันที่ 2 พฤศจิกายน และมีการแชร์ข้อความเดียวกันนี้ไปมากกว่า 500 ครั้ง แสดงให้เห็นว่าผู้คนมีความเห็นตรงกันเกี่ยวกับเรื่องนี้ อย่างไรก็ตาม ยังไม่มีการยืนยันอย่างเป็นทางการจาก CZ, Binance หรือแม้แต่ตัว Twitter/Elon Musk เองก็ตาม
แต่ถึงกระนั้น ตลาด Crypto นั้นก็เป็นการใช้ความรู้สึกและการคาดเดา! ตั้งแต่วันที่ 2 พฤศจิกายน 2022 ราคาของ Binance Coin (BNB), Dogecoin (DOGE) และแม้แต่ Mask Network (MASK) ก็ได้พุ่งสูงขึ้นไปอีก
มันจะมีอะไรเพิ่มเติมบน Binance Index หรือไม่?
ในเดือนตุลาคม Elon Musk พูดถึงแอปพลิเคชั่น “X” ที่ทะเยอทะยานของเขา จากที่เขาพูด Twitter จะเป็นตัวเร่งที่สำคัญสำหรับซุปเปอร์แอพที่รวมทุกอย่างเข้าไว้ด้วยกันที่กำลังจะมาถึง
นี่คือสิ่งที่เขาทวีต:
และก็ใช่แล้ว เจ้า “แอปที่ทำได้ทุกอย่าง” นี้ต้องการการสนับสนุนเรื่องการชำระเงิน — ซึ่งทำให้องค์ประกอบของ Binance Bluebird Index มีความสำคัญมากยิ่งขึ้น
นี่คือองค์ประกอบของราคา Bluebird Index บนแพลตฟอร์ม Binance แบบสัปดาห์ต่อสัปดาห์:
DOGE ใน Bluebird Index: Binance
MASK: Binance
ถึงแม้จะมีการปรับฐานครั้งใหญ่ในทั้งตลาด เหรียญที่ Blue Bird เลือกนั้นก็ยังคงเป็นสีเขียวในทุกสัปดาห์!
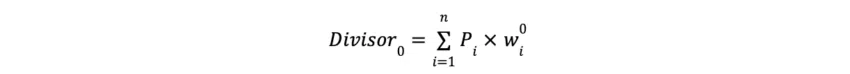
Binance Bluebird Index คำนวณอย่างไร?
Binance Bluebird Index รวมค่าเฉลี่ยถ่วงน้ำหนักของราคาแบบเรียลไทม์ของโทเค็น และโทเค็นที่ว่า เราหมายถึง BNB, DOGE และ MASK ในตลาดที่ใช้สกุลเงิน USDT
ค่า Index คำนวณโดยใช้สูตรดังต่อไปนี้:
นี่คือสิ่งที่องค์ประกอบแต่ละตัวหมายถึง:
หากสูตรที่กล่าวถึงข้างต้นทำให้คุณรู้สึกหนักใจ ไม่ต้องกังวล เพราะเราจะอธิบายแต่ละองค์ประกอบให้ทราบในไม่ช้า
จำนวนองค์ประกอบหรือ n สำหรับตอนนี้คือ 3
ราคาล่าสุดขององค์ประกอบ “i” แสดงด้วย “p” ซึ่งเป็นราคาโทเค็นมาตรฐานในกระดานเทรด Binance ณ เวลาใดก็ตาม
เหรียญทุกเหรียญมีน้ำหนักในกระดานเทรด ซึ่งเขียนแทนด้วย w ในขณะที่ตัวหารคือค่ามาตรฐานเรียลไทม์คูณด้วยมูลค่าของราคาและน้ำหนักขององค์ประกอบเฉพาะ
หมายเหตุ
“0” จะถูกแทนที่ด้วย “t” ซึ่งจะพิจารณามูลค่าตามเวลาของราคาและน้ำหนัก
เมื่อมาถึงการคำนวนน้ำหนัก นี่คือสูตรในการคำนวณที่เหมือนกัน:
แต่เดี๋ยวก่อน เราจะหาปัจจัยของการถ่วงน้ำหนักได้อย่างไร? มีสูตรโดยละเอียดสำหรับเรื่องนั้นเช่นกัน:
ในสูตรข้างต้น ปริมาณจะเกี่ยวข้องกับปริมาณถาวรของเหรียญในสกุลเงิน USDT ข้อมูลมูลค่าตลาดจะเปลี่ยนแปลงในช่วงเวลาปรับสมดุล
หมายเหตุสำคัญ
ช่วงเวลาปรับสมดุลหมายถึงช่วงเวลาที่ดัชนีอัพเดตทุกตัวแปรเพื่อให้ได้ค่าดัชนีที่อัพเดตแล้ว การปรับสมดุลดัชนีครั้งต่อไปจะเกิดขึ้นในวันที่ 10 พฤศจิกายน 2022
นอกจากนี้ Binance กล่าวว่า สูตรที่ใช้ในการคำนวณสามารถเปลี่ยนแปลงได้โดยไม่ต้องแจ้งให้ทราบล่วงหน้า
จากการคำนวณ นี่คือน้ำหนักของเหรียญในปัจจุบันสำหรับ Bluebird Index:
- Binance Coin (BNB): 51.8116%
- Dogecoin (DOGE): 41.8677%
- Mask Network (MASK): 6.3207%
ข้อมูลจะถูกอัพเดตด้วยตัวเองเมื่อถึงเวลาปรับสมดุล
การติดตามข้อมูล BNB, DOGE และ MASK
ปัจจุบัน BNB, DOGE และ MASK อยู่ในลิสต์ของ Bluebirds ของ Binance และสินทรัพย์ Crypto แต่ละรายการก็มีเหตุผลที่ได้ถูกนำเสนอขึ้นมา:
- BNB เป็นสกุลเงินดิจิทัลดั้งเดิมของ Binance และนั่นก็เป็นเหตุผลอันสมควรที่จะถูกรวมไว้
- Elon Musk ถูกกระเซ้าเย้าแหย่ว่าเป็น Dogefather ซึ่งทำให้การรวม DOGE เข้ามาไว้นั้นค่อนข้างเหมาะสม ความเคลื่อนไหวนี้เป็นการคาดเดาว่า Bluebird Index มีส่วนเกี่ยวข้องกับการลงทุนใน Twitter ของ CZ
- Mask Network เป็นแพลตฟอร์มเฉพาะของ NFT และการรวมมันเข้ามาไว้ด้วยกันนั้นดูจะเหมาะสมเมื่อพิจารณาถึงการเติบโตของตลาด NFT
แต่ยังมีเรื่องอื่นๆ อีกมากมายสำหรับ Mask Network ที่เป็นการยืนยันการคาดเดาส่วนใหญ่! โปรดอ่านเพิ่มเติมในหัวข้อถัดไป
Mask Network คืออะไร?
Mask Network เป็นโปรโตคอลแบบกระจายอำนาจที่มีไว้สำหรับการส่งข้อความผ่าน Facebook และ Twitter ในแบบเข้ารหัส เครือข่ายนี้อนุญาตให้ผู้ใช้งานถ่ายโอนและแลกเปลี่ยนโทเค็น DeFi — โดยไม่ต้องออกจาก Twitter — โดยใช้แพลตฟอร์มอย่าง SushiSwap และ Uniswap
แต่นั่นยังไม่ใช่ทั้งหมด!
โดยพื้นฐานแล้ว Mask Network มีเป้าหมายที่จะนำความเป็นส่วนตัวแบบกระจายอำนาจเข้ามาสู่โซเชียลเน็ตเวิร์ก — ผลักดันให้พวกเขาเข้าใกล้การนำ Web 3.0 มาใช้งานมากขึ้น และคุณสามารถพัฒนา DApps, NFT Marketplace และแม้แต่แชร์ไฟล์โดยใช้เครือข่ายนี้ได้
MASK — โทเค็นการกำกับดูแลแบบดั้งเดิมของ Mask Network — เริ่มมีชื่อเสียงเมื่อกลายเป็นส่วนหนึ่งของ Binance Bluebird Index เมื่อวันที่ 2 พฤศจิกายน 2022
MASK มีความเกี่ยวข้องกับ Twitter และ Elon Musk อย่างไร?
แต่คำถามใหญ่ยังคงอยู่: MASK มีความเกี่ยวข้องกับ Twitter หรือแม้แต่ Elon Musk ได้อย่างไร
ก่อนอื่น เราควรชี้แจงก่อนว่าความเชื่อมโยงทั้งหมดของ MASK-Twitter ที่คุณได้เห็นบนโซเชียลมีเดียนั้นอาจจะเป็นเพียงการคาดเดาเท่านั้น แล้วถ้าอย่างนั้น ข้อมูลต่างๆ มันถูกเชื่อมโยงเข้าหากันได้อย่างไร:
- The Mask Network ถือกำเนิดขึ้นในปี 2019 โดยมีการถอดรหัสข้อความบน Twitter เป็นหนึ่งในกรณีการใช้งาน
- Elon Musk เคยใช้ DOGE เป็นการชำระเงินที่ Supercharger ของพวกเขาในซานตาโมนิกา และ Mask Network ที่ซึ่งสนับสนุนโครงสร้างพื้นฐานสำหรับการชำระและสวอปเงินแบบ Crypto ก็ทำให้ผู้คนมองโลกในแง่ดี
- Suji Yan — ผู้ก่อตั้ง Mask Network — สนับสนุนเสรีภาพทางสังคมและเสรีภาพในการตีความมาอย่างยาวนาน
ในการให้สัมภาษณ์กับ CoinDesk เขายังกล่าวว่าหาก Twitter กลายเป็นโปรโตคอล (ตอนนี้พวกเขาเป็นบริษัท) แอปโซเชียลต่างๆ สามารถเริ่มสร้างขึ้นจากมันได้ และนั่นอาจจะทำให้มันเป็นไปได้แม้กระทั่งการผสานรวม Mask Network เข้าไป
และยังไม่หมดเพียงเท่านั้น!
หากคุณจำได้ Twitter ได้อนุญาตให้ผู้ใช้งานใช้ NFT เป็นรูปโปรไฟล์แล้ว นอกจากนี้ เมื่อไม่นานมานี้ แพลตฟอร์มอาจจะรองรับการซื้อและขาย NFT ทวีตที่เฉพาะเจาะจงในรูปแบบของ NFT Tweet Tiles
และด้วย Mask Network ที่อนุญาตให้ใช้ NFT และ DApps ที่เกี่ยวข้องได้ เราจึงไม่อาจตัวความเป็นไปได้ของการผสานรวมสิ่งนี้!
Binance Bluebird Index Perpetual Contracts
เรารู้ว่า Bluebird Index นั้นรวมอยู่ใน Binance Perpetual Futures นอกจากนี้ มันยังหมายความว่าค่าของดัชนีเป็นฟังก์ชั่นหรืออนุพันธ์ของสินทรัพย์อ้างอิง เช่น BNB, DOGE และ MASK
แต่แล้วนั่นมันหมายความว่าอย่างไร?
นั่นหมายความว่าคุณสามารถซื้อขายล่วงหน้าโดยใช้ Bluebird index โดยไม่ต้องกังวลเกี่ยวกับการหมดอายุของสัญญา นอกจากนี้ ขณะซื้อขาย คุณจะได้รับเลเวอเรจ 25 เท่า ซึ่งอาจจะมีความเสี่ยงและจำเป็นจะต้องทำการประเมินข้อมูลอย่างรอบคอบก่อนที่จะดำเนินการใดๆ ต่อไป
แกะกล่องการทำงานของ Binance Bluebird Index
กลับมาที่ Binance Bluebird Index วิธีการทำงานของมันค่อนข้างจะตรงไปตรงมา ประการแรก คุณสามารถซื้อขายมันเป็น Perpetual Futures Contract (สัญญาซื้อขายล่วงหน้าแบบถาวร) ได้ ประการที่ 2 ไม่เหมือนกับ COIN-M Futures ที่เราใช้สกุลเงินดิจิทัลที่เกี่ยวข้อง, Binance Bluebird Index ใช้ USD-M Index โดยที่ตลาดเป็นสกุลเงิน USDT
คุณสามารถใช้มันเป็น Crypto Index เพื่อดูการเติบโตของทั้ง 3 องค์ประกอบปัจจุบัน เพื่อที่จะเข้าถึงมัน คุณเพียงแค่ต้องค้นหาสัญลักษณ์ BLUEBIRDUSDT ในหน้าดัชนี USD-M
ในการซื้อขาย Binance Bluebird Index คุณต้องลงชื่อเข้าใช้ Binance เสียก่อน หลังจากนั้น ให้ปฏิบัติตามขั้นตอนดังต่อไปนี้:
ขั้นตอนที่ 1
ตรงไปที่หัวข้อ “Derivatives” แล้วเลือก “USD-M Futures”
ขั้นตอนที่ 2
เมื่อถึงที่นั่น เลือก BLUEBIRDUSDT จากหน้าสัญลักษณ์เพื่อเริ่มการซื้อขาย
ขั้นตอนที่ 3
คุณสามารถย้ายเงิน (USDT) จากกระเป๋าเงิน Spot ไปยังกระเป๋าเงิน USD-M เพื่อซื้อขายได้แล้ว
ขั้นตอนที่ 4
คุณสามารถตั้งค่า Limit Order และส่งคำสั่งได้ จากที่ได้กล่าวไว้ มูลค่าคำสั่งขั้นต่ำคือ 0.6 BLUEBIRD หรือ 5.640 USDT
หมายเหตุ
คุณสามารถคลิกแท็บ 20x และปรับเลเวอเรจตามความเสี่ยงที่คุณต้องการได้
คุณสามารถ Buy/Long BLUEBIRD หรือ Sell/Short BLUEBIRD เมื่อทำการส่งคำสั่งแล้ว คุณสามารถดูมันได้ในแท็บ Open Orders
และนั่นคือวิธีการซื้อขาย Binance Bluebird Index
นกฟ้ายังคงบินสูงขึ้นไปอีก
ท่ามกลางการคาดเดาเกี่ยวกับการผสานรวมระบบการชำระเงิน, ตลาด NFT, และการปรับขนาด Twitter Binance Bluebird Index มาพร้อมกับความคาดหวังมากมาย อย่างไรก็ตาม ในตอนนี้ Binance ยืนยันว่าดัชนีนี้ไม่เกี่ยวข้องกับการลงทุนของ Binance ใน Twitter แต่อย่างไรก็ตาม นักเทรดและนักลงทุนยังคงมองโลกในแง่ดี โดยคอยจับตามองดูพัฒนาการของดัชนี Binance นี้อย่างใกล้ชิด บางคนกระทั่งคาดหวังถึงเรื่องที่ว่า Blue Bird Coin กำลังจะมาถึง แต่อย่างไรก็ตาม ยังไม่มีข้อมูลใดๆ ในเรื่องนี้
สำหรับตอนนี้ สิ่งที่เรารู้ก็คือยังไม่มี Blue Bird Coin และ Binance Bluebird Index เป็นเพียงดัชนีที่สามารถซื้อขายได้ซึ่งติดตามข้อมูลราคาของ Bluebirds: BNB, DOGE และ MASK และราคาของเหรียญเหล่านี้อาจจะพุ่งสูงขึ้นไปได้อย่างแน่นอน





